![]() | Novel Understanding of Micro-Particles: The Rest- Energy-Excluded Frequency-Determination Energy and the Potential-Energy-Affected Wavelength |
| Prof. Xiaomin Ren | |
| Beijing University of Posts and Telecommunications, China |
Abstract
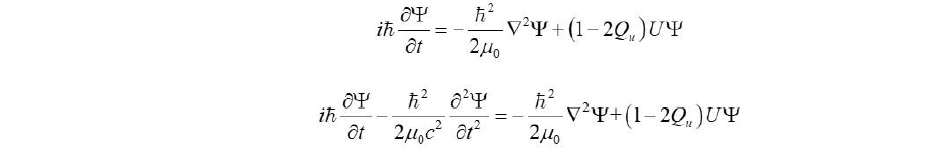
Both electronics and optoelectronics are essentially based on de Broglie wave-particle duality which has played its role as the micro-particle fundamentals including the relation between particle energy and wave frequency and that between particle momentum and wavelength. However, the frequency-determination energy in the first relation has usually been misunderstood as the rest-energy included total particle energy and the wavelength in the second relation has been mistaken as a quantity only related to the momentum. Here presented are the modified ones featuring the rest-energy excluded frequency-determination energy and the potential-energy-affected wavelength (an effective momentum peff =(1+QuU/Ek)p in the first order approximation of weak potential-energy is introduced) as well as the consequentially re-established Schrödinger equation and quasi-Dirac equation written respectively as follows:
For the former one, it can be found that when |Qu |<< 1/2 and thus 1 - 2Qu ≈1, it is just the Schrödinger equation that we are familiar with. It means that, actually, Schrödinger equation can be considered as a valid one only under the above-mentioned first-order approximation and the assumption of |Qu |<<1/2.
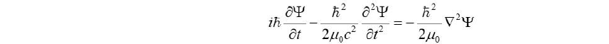
For the latter one, it can be found that in the case of free space with U=0, it becomes

Furthermore, such a re-established equation can degenerate into the re-established or even the original Schrödinger ones when the particle velocity comes into the non-relativistic regime and can even be upgraded as an invariant one under the Lorentz transformation just by following the Dirac’s mathematical methodology.
These modifications and re-establishments might lead to fascinating stories of the quantum-mechanics theory and various relevant technologies, especially in the area of electronics and optoelectronics.
Biography
Xiaomin Ren, IET Fellow, COS Fellow, CIE Fellow, Professor of Beijing University of Posts and Telecommunications (BUPT), Chief Scientist of the State Key Laboratory of Information Photonics and Optical Communications of China (SKL-IPOC), Vice President of Chinese Optical Society (COS). He had also been a Vice President of BUPT (1996-2017), the Director of SKL-IPOC (2003-2023) and the Chairman of ACP Conference Steering Committee (2015-2023). He worked as a Senior Visiting Scholar in Centro Studi E Laboratori Telecomunicazioni, Turin, Italy, and then as a Visiting Senior Research Fellow in the Microelectronics Research Center, University of Texas at Austin, USA, during 1994 to 1996. He had been awarded with the title of Outstanding Young Scientist of China by NNSFC (1996). He had been a Vice Head of the Optoelectronic Expert Group under the National 863 Program for many early years and the Chief Scientist of the relevant research projects of the National 973 Program twice from 2003 to 2014. He has worked on information optoelectronic technologies and nanoheterostructure physics, mainly including semiconductor lasers, photodetectors, silicon-based III-V optoelectronic integration, novel low-dimensional heterostrucutures and devices, photonic crystal fibers, etc. He has also worked on fundamental physics since 2012 and proposed the concept of energy-level divergence, the theory of fractional (or continuous real-number) dimensionality electron-states architecture in semiconductors, the Bivergentum Theory going to unify the classical and quantum mechanics together and extend the Einstein's high speed special theory of relativity to a quite new one, i.e. the full-velocity-scope special theory of relativity. He advocates that quantum mechanics must go back to Logicism (in contrast with Instrumentalism) and believes that there does exist an amazing super-low speed 'world'.
| Remarks on In-fiber Integrated Optic Devices and |
| Prof. Libo Yuan | |
| Guilin University of Electronic Science and Technology, China |
This report focuses on the integration of devices or components using quartz fiber as the substrate material, and discusses how to miniaturize and integrate various optical device or elements into a single fiber. The construction of functional optical devices, or the realization of optical component integration on the fiber through the combination of several single-function optical devices are systematically explored. The primary concepts and key technologies for the integration of optical devices and components in optical fibers are systematically summarized. The main functionalities and applications of such integrated devices and components in optical fiber communication and sensing are comprehensively reviewed. Finally, the potential application prospects of this technique in the field of minimally invasive interventional medicine in the future are elaborated.
BiographyProf. Libo Yuan is with the School of Optoelectronic Engineering, Guilin University of Electronics Technology, as a professor and director of Photonics Research Center. He has received his Ph.D. (Photonics, 2003), M. Eng. (Communication & Electronic Systems, 1990) and B.S. (Physics, 1984), from The Hong Kong Polytechnic University, Harbin Shipbuilding Engineering Institute and Heilongjiang University, respectively. His general area of research is in-fiber integrated optics, fiber optical tweezers and fiber-optic sensors. He has authored and co-authored over 400 referred international journal papers. He holds over 150 patents related with fiber optic technology and published 4 books and 3 book chapters.
| Optical Interconnects for AI Datacenters |
| Prof. Chongjin Xie | |
| PhotonicX AI Pte. Ltd., Singapore |
Since the advent of ChatGPT, generative AI has attracted lots of attention, not only from academia and industries, but from general public as well. AI computing has become the new growth engine for the IT industry and is changing the landscape of computing. Datacenters are shifting their focus from general computing to AI computing. With massive data and various parallelisms used in AI computing, huge amount of interconnects at various levels are required for AI computing clusters. This talk focuses on optical interconnects for AI computing clusters in cloud datacenters, their requirements, current status and future challenges. Various technologies are discussed.
Biography
Chongjin Xie received his M.Sc. and Ph.D. degrees from Beijing University of Posts & Telecommunications, in 1996 and 1999, respectively, in electrical and communication engineering. He did his postdoctoral research at Chalmers University of Technology in Sweden from 1999 to 2001, working on polarization-mode-dispersion effects on high-speed optical transmission systems. He joined Bell Labs, Lucent Technologies in New Jersey, USA in 2001, doing research on optical communication systems and networks. He worked at Alibaba Infrastructure Service, Alibaba Group from 2014 to 2024 as a senior director and chief communication scientist, leading an optical networking research, planning, design and testing team to develop and implement datacenter optical interconnects and networking technologies and products in support of Alibaba online platform and cloud services. He founded PhotonicX AI in September 2024, a startup focusing on AI optical interconnects, and served as CEO of the company. Dr. Xie has published one book, 5 book chapters and over 250 journal and conference papers, and served as an associate editor of Journal of Lightwave Technologies from 2013 to 2019, OFC program chair and general chair in 2019 and 2021, respectively. He is a Fellow of IEEE and a Fellow of Optica.
| Photoacoustic imaging empowered by fiber-optic |
| Prof. Bai-ou Guan | |
| Jinan University |
Abstract
Photoacoustic imaging as a hybrid imaging technology that integrates optical excitation and acoustic detection can not only provide anatomical information of biological tissues, but also reflect functional information such as oxygen saturation and metabolism rate. Conventional piezoelectric sensors for the detection of photoacoustic signals confront tradeoff between the sensitivity and footprint size, limiting the capability and flexibility for high-performance system design. In contrast, fiber-optic ultrasonic sensors feature size-independent sensitivity, small size, high sensitivity, and large working bandwidth, and therefore open up new path for developing miniaturized and wearable photoacoustic imaging systems. This talk will introduce our recent progress in photoacoustic imaging technology based on fiber-optic ultrasonic sensors. The fiber laser ultrasonic sensor technology with high sensitivity and strong anti-interference capability is introduced at first, which is followed by photoacoustic endoscopy, small-animal head-mounted photoacoustic microscopy, and the deep-penetration photoacoustic computed tomography.
Biography
Bai-Ou Guan received his bachelor's degree in applied physics from Sichuan University in 1994, and his M.Sc and Ph.D. degrees in optics from Nankai University, in 1997 and 2000, respectively. From 2000 to 2005, he was with the Department of Electrical Engineering, The Hong Kong Polytechnic University, Hong Kong, first as a Research Associate, and then as a Postdoctoral Research Fellow. From 2005 to 2009, he was with School of Physics and Optoelectronic Engineering, Dalian University of Technology, as a Full Professor. In 2009, he joined Jinan University, Guangzhou, where he founded the Institute of Photonics Technology. Now he serves as the dean of College of Physics & Optoelectronic Engineering at Jinan University. His research interests include fiber optic sensors, photoacoustic imaging, and fiber optic theranostics. He has authored and coauthored more than 390 papers in the peer-reviewed international journals such as Nature Photonics, Nature Communications, Science Advances, and Light Science & Applications. He is a fellow of Optica.
SUBMISSION
REGISTRATION
- ICOCN'2024 in Harbin
- ICOCN'2023 in Qufu
- ICOCN'2022 in Shenzhen
- ICOCN'2021 Online
- ICOCN'2019 in Huangshan
- ICOCN'2018 in Zhuhai
- ICOCN'2017 in Wuzhen
- ICOCN'2016 in Hangzhou
- ICOCN'2015 in Nanjing
- ICOCN'2014 in Suzhou
- ICOCN'2013 in Chengdu
- ICOCN'2012 in Pattaya
- ICOCN'2011 in Guangzhou
- ICOCN'2010 in Nanjing
- ICOCN'2009 in Beijing
- ICOCN'2008 in Singapore
- ICOCN'2007 in Taxila
- ICOCN'2006 in Jiuzhaigou
- ICOCN'2005 in Bangkok
- ICOCN'2004 in Hong Kong



